Is Parkrun a Better Measure of Fitness Than VO2 Max

What does your everyday training data really reveal about your fitness? We analyzed 1,613 park runs to find out.
May 21, 2026
Uncovering groundbreaking insights from the world's health data. Led by 2x Olympic champion Alistair Brownlee.
Get the latest reports and insights from Terra Research delivered to your inbox.





Cookie Preferences
Here you can find all research papers on health data published by the Terra Research team. All papers consist of original findings.

What does your everyday training data really reveal about your fitness? We analyzed 1,613 park runs to find out.
May 21, 2026

Does the timing of your workout actually affect your sleep? We ran the data to find the window that delivers the most…
May 19, 2026

Does watching professional cycling actually inspire us to ride? We analyzed ~265,000 outdoor cycling activities to test…
May 14, 2026

Why do we remember some dreams and not others? We analyzed over 130,000 nights of sleep to find out what kind of nights,…
May 12, 2026

How do runners actually get faster? We analyzed 856,000 running activities to find out who actually gets faster. It…
May 7, 2026

While Sabastian Sawe was busy breaking the two-hour marathon barrier in London, the watches of 571 amateur runners told…
April 27, 2026

During the April 2026 Tube strikes, Londoners adapted by cycling more—activity tripled, e-bike commutes rose 13%, and…
April 24, 2026

Which sport is hardest on the heart? We ran the question through hundreds of thousands of sessions across nine activity…
April 23, 2026

We analyzed large-scale wearable data to understand what cold exposure actually does to your body. Sporadic plunges act…
April 14, 2026

We analyzed 856,000 exercise sessions from Europeans across 20 countries to find out how people really train across the…
April 9, 2026

We often hear that our hormones make us unpredictable, but the data tells us otherwise: its a subtle but shockingly…
April 7, 2026

We analyzed 15,000 nights of sleep data to uncover what drinking before bed actually does to your rest. Using a mixed…
March 30, 2026

We analyzed 59,000+ daily records from 256 sauna users to quantify what saunas actually do to your body. Using paired…
March 26, 2026

We analysed over 70,000 activities from 305 GLP-1 users to understand how these medications alter physiological…
March 23, 2026

We analyzed 37,000+ nights of wearable data to understand how caffeine really affects your sleep. The results? Caffeine…
March 17, 2026

We studied 500+ users. Notable side effects are activity drops, resting heart rate rises, and HRV drops well below…
March 12, 2026

Most people take melatonin expecting to fall asleep faster or sleep longer. We analyzed over 200,000 sleep records from…
March 5, 2026

Temperature has long been the go-to for tracking the menstrual cycle with wearables, but it turns out your body offers…
February 27, 2026

Norway claimed 41 medals at the 2026 Milano-Cortina Winter Olympics, more than any nation in a single Winter Olympic…
February 23, 2026

This week's research blog dives into a data-driven model that unlocks marathon potential by explaining 79% of finish…
February 20, 2026

Instead of treating training like a simple “more in = faster out” equation, we tested where the curve bends using six…
February 12, 2026

We used a large anonymized dataset to track nights of sleep from people across hundreds of countries to understand how…
February 11, 2026

We analyzed training data from 425 verified marathon runners to figure out what actually makes people faster. The…
February 5, 2026

We analyzed ~3 million nights of wearable sleep data to see whether the menstrual cycle leaves a measurable signature in…
January 29, 2026

We analyzed sleep data from 77,000+ nights across six major wearables, then zoomed in on same-person, same-night…
January 22, 2026

We analysed wearable data from over 3,000 users to measure the New Year's resolution effect on physical activity. The…
January 15, 2026

We analyzed 8,298 sleep records from October 2025 across wearable users in North America, Europe, and beyond, linking…
January 6, 2026

Every January, millions pledge to sleep more along with their New Year's Resolutions. But does it work? Analyzing more…
December 31, 2025

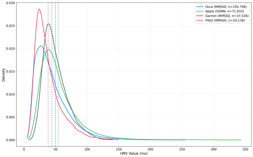
We unpack what HRV really is and how it actually works to demystify the data from Apple Watch, Fitbit, and Garmin. Some…
December 17, 2025

We analyzed 93 days of continuous sleep data across Fitbit, Apple Watch, and Garmin users to answer a simple question:…
December 9, 2025

We analyzed sleep data from over 5,000 real-world nights across Apple Watch, Fitbit, and Garmin users. Garmin delivered…
November 28, 2025

In this report, we reveal why high-step users averaging 11,500+ daily steps succeed: consistency. Their 36% activity…
October 23, 2025

Smart rings track five different activity metrics, but they don't always align. Drawing on nearly 28,000 days of user…
October 9, 2025

An analysis of 1,000+ ring users examined the relationship between daily calorie expenditure and sleep metrics. Active…
October 2, 2025

Based on an analysis of nearly 90,000 nights, the connection between sleep duration and next-morning HRV is minimal for…
September 25, 2025

Despite their perceived link, sleep and HRV are only weakly correlated. The analysis of nearly 90,000 nights showed that…
September 20, 2025

Based on an analysis of nearly 100,000 HRV records, this report reveals that most daily HRV changes are small, but…
September 19, 2025

At Terra, we recently ran an analysis on wearable data from over a thousand users, focusing on two key metrics: sleep…
September 18, 2025
A team of scientists, engineers, and athletes working to make sense of the world’s health data.

Alistair Brownlee is Head of Research, where he leads large-scale analysis of wearable health data to better understand sleep, recovery and human performance, translating these insights into products that help people live healthier lives.

Faraaz Akhtar is an AI & Health Researcher at Terra API, where he develops statistical and machine-learning methods to extract insights from large-scale wearable health data.

Rocio Mexia is a Biomedical Engineer and AI & Health Researcher at Terra API, where she applies machine learning to wearable and health record data to uncover insights about human health.

Halvard Ramstad is Editor-in-Chief at Terra Research, responsible for shaping how the team's findings reach the world.

Cameron Crawford is an AI Engineer at Terra API, solving the technical and product issues that arise when giving AI access to health data.